为响应“广大科技工作者要把论文写在祖国的大地上”的号召,辽宁大学康晓珅课题组在我国主办的物理学国际权威期刊《中国物理C》(Chinese Physics C)上发表重要学术成果。
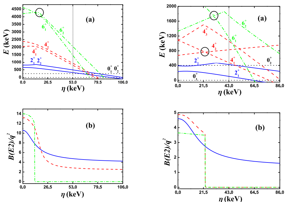
最近在核结构研究领域,实验上出现一系列低能反常现象,这引起了核结构研究者的广泛兴趣。其中B(E2)反常的研究新成果最多。在原子核的低能激发中,如果41+态的能级是21+态的两倍以上,我们就认为这个原子核是集体激发模式。一般来说,41+态到21+态的电磁四极矩跃迁强度比21+态到基态的要大一些。可是最近在实验中发现,168,170Os,166W和172Pt中的结果正相反,前者比后者小的多,这个现象就被称为B(E2)反常。
对于B(E2)反常,国内外一系列究组,给出了一些不同的理解机制。这些理解都是建立在新发展的SU3-IBM的模型基础上的,所以讨论这些机制和SU(3)对称性的关系,就变得很重要。在本文中,我们提出了一个讨论这个关系的新技术,也就是SU(3)分析技术。对于前面给出的机制,讨论了这些机制在SU(3)极限下的情况,都发现了B(E2)反常,而且还发现了新的反常现象,为进一步讨论这些问题奠定了基础。
这是一个讨论B(E2)反常的普适技巧,在以后的研究中将会得到广泛应用。

该项工作以“SU(3) analysis for B(E2) anomaly”为题发表在我国主办的物理学国际权威期刊《Chinese Physics C》上(中国科学院二区期刊),辽宁大学物理学院为本文第一完成单位,康晓珅为本文通讯作者。
SU(3) analysis for B(E2) anomaly[J]. Chinese Physics C, 2025, 49(10): 104105. doi: 10.1088/1674-1137/aded05.
【原文链接】 https://cpc.ihep.ac.cn/en/article/doi/10.1088/1674-1137/aded05

第一作者:程宇欣,辽宁大学物理学院2023级粒子物理与原子核物理专业在读硕士研究生,主要研究方向为原子核物理。
合作作者:王涛,通化师范学院物理学院 副教授,吉林大学博士。原子核结构理论专家,在相互作用玻色子模型领域提出了SU3-IBM理论,解释了多种反常现象,指出SU(3)对称性支配各种四极矩形变,在核结构研究领域取得新突破。
通讯作者:康晓珅,辽宁大学物理学院副教授,辽宁大学核产业研究院院长,南开大学博士,中国科学院博士后,“赵忠尧研究奖金”获得者。长期从事粒子物理与原子核物理相关研究,主持完成多项国家自然科学基金项目、教育部项目、中国科学院项目。入职辽宁大学后,在物理学顶级期刊Physical Review Letters, 物理学权威期刊 Physical Review D,The European Physical Journal C,Chinese Physics C 等发表一系列高水平学术论文。